Construction et mise en place de l'antenne cadre.
La construction du rotor est d�crite ici: Rotor d'antenne. et la mise au point de la commande avec retour visu ici: Gestion rotor..
Installation du syt�me rotor/commande CV sur son m�t dans le grenier, premiers essais � distance.

En esp�rant qu'il n'y ait pas trop de souris grignoteuses de fils, le grenier n'est pas accessible � mes deux chats qui aiment bien taquiner le mulot.
Essais concluants, j'�tais un peu inquiet sur les pertes possibles dues aux 10m de c�ble mais les cr�neaux des optocoupleurs sont bien propres � l'arriv�e sur le PIC. Le boitier de commande � trouv� sa place d�finitive dans la station. Je peux maintenant me concentrer sur la fabrication de l'antenne.
Au d�part je pensais construire une antenne loop magn�tique courante � une spire, mais cette antenne �tant destin�e uniquement � la r�ception j'ai d�cid� d'exp�rimenter une antenne cadre dans le genre de celles que nos anciens construisaient pour �couter les grandes ondes. Je vais l'optimiser pour mes fr�quences de travail pr�f�r�es en la taillant en d'1/4 d'onde, je trafique sur les bandes basses donc 1/4 d'onde=20m pour le 80m, ce qui donne 1/2 onde pour le 40m ce qui est encore mieux. Ces 20 m�tres sont enroul�s en 8 spires sur un diam�tre de 815mm, valeur conditionn�e par la porte d'entr�e du grenier qui ne m'autorise pas plus.
Partant du principe que le couplage de deux selfs est au maximum quand elles sont concentriques je vais placer la boucle de couplage au centre en la fixant suivant le principe de la tens�grit�.

Sch�ma de principe de l'antenne identique � celui des boucles magn�tiques, un circuit oscillant accord� sur la fr�quence de r�ception et une boucle de couplage pour la transmission du signal vers le r�cepteur. J'ai utilis� le m�me rapport que pour les boucles magn�tiques courantes, self de couplage =1/5 grande self. La grande self mesurant 20m de long j'ai pris 4m en 5 spires pour la boucle de couplage.

Quelques calculs. La grande self du circuit oscillant mesure 816mm de diam�tre, 8 spires sur 50mm de large, �� nous fait une valeur de 100�H, valeur un peu �lev�e m�me pour les bandes basses. Pour r�sonner sur la bande des 3.5Mhz il faut entre 18 et 21pf sur le CV, autant dire que l'accord va �tre pointu avec mon CV actuel de 560pf. C'est encore pire pour le 7Mhz il lui faut une valeur de 5pf, en dessus et en dessous on est hors bande. Bon, c'est de l'exp�rimentation, on n'est pas ici en �mission et on se fiche royalement du ROS mais une antenne qui r�sonne sur la fr�quence de r�ception c'est quand m�me mieux. Je vais faire les essais dans la configuration actuelle mais il n'est pas exclu de me pencher ensuite sur la construction d'un CV d�di� d'une tr�s petite plage de valeurs.
Je n'avais pas trop envie de faire une construction en bois pour une antenne dispos�e dans un vieux grenier, dans nos campagnes la vrillette fait rage et je ne voulais pas retrouver mon cadre plein de trous un jour ou l'autre. Il me reste quelques tuyaux
PVC �32 de la r�novation de la maison qui feront l'affaire.
Usinage des peignes pour la grande self ext�rieure composant le circuit oscillant. J'ai obtenu des plaques de PVC planes en chauffant le tuyau au pistolet thermo et en les laissant refroidir sous presse.


Support assembl�.

Antenne termin�e.

install�e sur son rotor dans le grenier, elle ne craint que les toiles d'araign�es.

Premiers essais et r�sultat moyen. L'antenne fonctionne correctement mais les performances sont similaires � celles de ma long-fil de 50m, le petit plus c'est qu'elle �limine pas mal de QRM de fond. Donc pour l'instant je gagne en confort d'�coute mais j'esp�rais mieux.
Je pense que le couplage entre la grande self et la petite centrale (1/5e) n'est pas suffisant, on n'est pas en �mission et les signaux se mesurent en �v, cette petite self au milieu semble bien perdue. Pour rem�dier � cela je vois deux solutions, soit
je la d�place pour venir tangenter la grande, soit je la transforme en une seule spire de la m�me dimension que la grande. La deuxi�me solution me parle plus.
Je vais �galement transformer le grand enroulement externe de 8 spires (100�H) en deux enroulements 4 spires mont�s en // (25�H chacun) ce qui me donnera 12,5�H, valeur plus facile � accorder sur la plage de mon gros CV.
En cours...
---o0O (#) O0o---
Bien plus tard...
Reprise du projet, je n'ai pas mis en pratique l'id�e pr�c�dente de scinder ma self en deux plus petites, arm� � pr�sent d'un nanoVNA j'ai envie de m'amuser avec mon nouveau jouet et je vais rajouter des spires � la self pour faire quelques exp�riences, si �� ne fonctionne pas je pourrai toujours revenir � la configuration actuelle. Th�oriquement en rajoutant des spires �� ne devrait pas marcher, je vais augmenter la valeur selfique et mon CV �tant d�j� de forte valeur �� va s�rieusement baisser la fr�quence de r�sonnance. Mais soyons fou on y va quand m�me, un radioamateur c'est fait pour exp�rimenter alors j'exp�rimente.
Pour pouvoir rajouter des spires il a fallu augmenter la surface des peignes, encore la technique du PVC chauff� pour le mettre en forme et les per�ages fastidieux effectu�s � la CNC. J'ai �galement remplac� la self concentrique qui ne me parlait pas par une seule spire parall�le � la grosse self du circuit oscillant, couplage plus serr� qu'auparavant, meilleure transmission du signal.
Rajout de spires, le fil est tir� d'un c�ble �lectrique type lampe de chevet que j'ai d�doubl�, gros fil de c�blage pour pas cher. A chaque rajout d'une spire je fais une mesure au nanoVNA et au bout d'un moment... BINGO !!! un beau creux de ROS sur 6990 Khz.
Pour moi qui �met en CW dans les environs de 7012 c'est le Graal, apr�s avoir fait un looping je reviens sur mon ouvrage, je r�duis l'excursion en fr�quence pour affiner entre 6500 et 7200Khz, ce qui me donne un d�placement plus pr�cis du marqueur, et re-BINGO !!!, l'antenne est taill�e exactement sur 7011 Khz avec un ros de 1.31, que demander de plus ?
"La th�orie, c'est quand on sait tout et que rien ne fonctionne. La pratique, c'est quand tout fonctionne et que personne ne sait pourquoi. Ici, nous avons r�uni th�orie et pratique : Rien ne fonctionne... et personne ne sait pourquoi !"
- Albert Einstein -
OK Albert, mais dans mon cas c'est juste le contraire, th�oriquement �� ne devrait pas marcher, la self et le CV ayant chacun une trop grosse valeur, mais �� fonctionne... et personne ne sait pourquoi !
D'ailleurs quand on regarde l'allure du trac� sur l'abaque de Smith on se dit que c'est un sacr� coup de pot ;D, rien n'est bon dans ce trac� qui ne ressemble � rien sauf cette pointe qui vient faire une petite incursion dans le cercle de ROS constant inf�rieur �
2.0. Imp�dance de l'antenne � cette fr�quence: 60.7 ohms, pas mal pour une antenne r�ception. R�glage tr�s pointu, � peine on bouge le CV et le trac� change compl�tement.
---o0O (#) O0o---
Encore bien plus tard...
J'avais un peu d�laiss� ce projet, non parce qu'il �tait bloqu� mais parce que j'ai tra�n� sur d'autres chats � fouetter dans d'autres domaines, passion quand tu nous tiens... Et aussi le fait que d'avoir trouv� une fr�quence de r�sonnance de cette mani�re tenait du gros coup de pot et �� ne me plaisait qu'� moiti�, un gout amer dans la bouche, r�sist� � la tentation d'aller me pendre dans la gazini�re, tout ��...
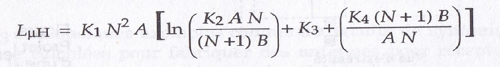
Ce qui a rallum� la flamme c'est la lecture du livre "R�ception des HAUTES-FREQUENCES" de Joseph J.Carr, �ditions Publitronic Elektor, j'y ai d�couvert une formule tr�s int�ressante sur le calcul des antennes cadres r�ception, mise au point par F.W. Grover du United States International Bureau of Standards:

avec:
A: longueur d'un cot� en cm
B: largeur de la bobine en cm
N: nombre de spires de la bobine
les lettres K d�signent les constantes suivantes:
K1 = 0.0080
K2 = 1.4142
K3 = 0.37942
K4 = 0.3330
Les essais n�cessitant pas mal de calculs avec des valeurs diff�rentes, plut�t que de refaire x fois la formule � la main avec toutes les erreurs de calcul que �� pourrait impliquer je l'ai rentr�e une fois pour toutes dans mon tableur. Il en ressort que j'avais
plac� beaucoup trop de spires sur le cadre, pour obtenir la bonne valeur j'ai du r�duire � 11 spires, 8 sur une nappe et 3 au-dessus et arriver � 22�H. Pour faire plus sym�trique j'aurai pu faire 6 et 5 mais j'avais la flemme de tout d�monter. Et l'antenne r�sonne maintenant sur 7012Khz aux 3/4 de la valeur du CV, une r�ussite donc.
D'apr�s la th�orie et la formule de Thomson, avec le CV de 250pf je devrais pouvoir accorder sur 3.5, 7 et 10Mhz, mais �� c'est la th�orie, en pratique le VNA ne me donne des pics que sur 7Mhz et 18Mhz, myst�res de la radio et de la loi de Murphy. On verra
bien en fonction derri�re le RX mais dans l'absolu ce n'est pas tr�s grave vu que je suis le plus souvent sur le 40m �� me convient bien, pour les autres bandes ou je ne vais qu'�pisodiquement je continuerai d'utiliser la long-fil de 50m en r�ception.
Le cadre d�finitif �quip� de ses 11 spires en 2 couches.
Mesure sur une place de 6.8Mhz � 7.4Mhz, le miniVNA branch� sur la boucle de couplage (cot� rx). R�sonance tip top sur 7012, l'effet recherch�. Le ros est un peu moins bon que sur l'essai pr�c�dent mais on s'en fiche un peu en r�ception, par-contre le r�glage est bien moins pointu, plus confortable � caler. Ca se voit bien d'ailleurs en comparant la forme des deux courbes sur pratiquement la m�me plage de mesures.